Download Images Library Photos and Pictures. Credit Freeze Request Letter Template Word And Pdf Https Michiganfirst Com Wp Content Themes Michiganfirst Pdf Escrow Cancellation Request Pdf 41 Professional Cancellation Letters Gym Insurance Contract More Https Www2 Ed Gov Policy Highered Guid Aid Offer Sample Aid Offer 2 Pdf
. Homeowners Using Cash Out Refi For Emergency Funds Mortgage Rates Mortgage News And Strategy The Mortgage Reports Notary Signing Agent Document Faq Notice Of Right To Cancel Nna Letter Proposing Payment In Instalments Uk Template
S E3porx3wls4m
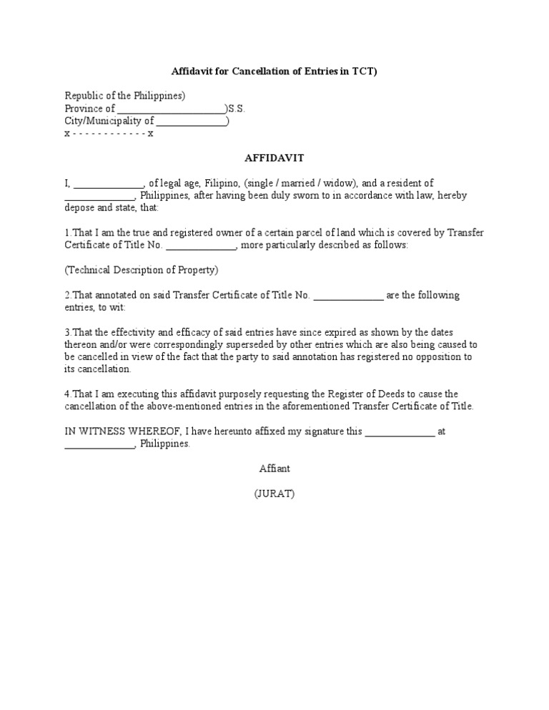
Affidavit For Cancellation Of Entries In Tct Affidavit Legal Procedure
10 Sample Collection Letters Writing Letters Formats Examples
Section 27 Bank Confirmation Letter
Letter To Bank To Cancel Direct Debit Sample Template
41 Professional Cancellation Letters Gym Insurance Contract More
Understanding Your Mortgage Commitment Letter
Https Encrypted Tbn0 Gstatic Com Images Q Tbn And9gctyflwfo6tmq8mewk1gc24tyio Kqifi5ur82qu1ibzym99m3gq Usqp Cau
Car Insurance Policy Sample Letter Of Cancellation Of Car Insurance Policy
4 Things To Complete When You Close Your Home Loan
How To Write A Sample Letter Of Cancellation Business Contract Bright Hub
Sample Hardship Letter For A Loan Modification Lovetoknow
Loan Application Rejection Letter 15 Sample Letters Writing Tips
27 Sample Guarantee Letters In Pdf Ms Word Excel
Application Format For Personal Loan From Office
Mortgage Commitment Letter Sample In 2020 Letter Sample Business Letter Template Letter Templates
Application Letter For Business Loan To Bank Manager
Lien Release Form Pdf Templates Jotform
Bond Cancellation Letter Template
Early Lease Termination Letter Pdf Templates Jotform
Cancellation Of Mortgage Sample Mortgage Law Civil Law Common Law
Letter To Surveyor Requesting Survey Nsw Legal Guides For Lawyers
Sample Letter Requesting Verification Of A Cancellation And Requesting A Refund Letterexamplehelp
How To Close A Bank Account In Canada Free Sample Letter Net Worth Update May 2020 8 63 Canadian Budget Binder
Https Www2 Ed Gov Policy Highered Guid Aid Offer Sample Aid Offer 2 Pdf
Personal Loan Letter Template Payoff Letter Sample Loan Application Letters Personal Sample Personal Loan Application Letter To Employer
Lender Wont Cancel Pmi Insurance I M Below 78 Interest Rate 2014 Fees Mortgages Lenders Loans Financing Rates Foreclosures Short Sales Brokers Credit Score Deed Lien Refinancing Borrowers Page 3 City Data Forum
Https Encrypted Tbn0 Gstatic Com Images Q Tbn And9gct Db9ezufcrlrigl1 Eqwu75t7xiwvtppzdqmyka1p1 Z4yzis Usqp Cau
Method Of Verification Sample Letter 2020 S Updated Template Guide


Komentar
Posting Komentar